低温制甲醇新突破——5个月高活性!。 近日,美国西北大学Joseph T. Hupp团队联合俄亥俄州立大学Rachel B. Getman团队、合肥综合性国家科学中心能源研究院毕文团团队及石溪大学Karena W. Chapman团队等,在Nature Chemistry期刊发表题为 Isolated and H2-reduced Anderson clusters catalyse low-temperature hydrogenation of CO2 to methanol 的研究论文。该工作报道了一种由金属有机框架(MOF)限域的Anderson型PtMo6O24多酸(POM)分子级团簇催化体系,实现了二氧化碳在低温条件下高效、稳定地加氢制甲醇,并通过原位表征结合理论计算揭示了其活性位结构及反应机制。
二氧化碳加氢制甲醇被认为是构建可持续碳循环的重要途径之一。甲醇既是重要的大宗化学品,也是一种具有潜力的能源载体。然而,这一反应长期面临两大瓶颈:一方面,低温下二氧化碳分子难以被有效活化;另一方面,传统多相催化剂中活性位点往往结构复杂、动态演化明显,使得构效关系难以精确解析,从而限制了催化剂的精准设计。

图1:研究内容示意图
针对这一关键难题,研究团队提出了一种兼具分子精确性与结构稳定性的催化新策略:将Anderson型多酸PtMo6O24封装到锆基MOF NU-1000的特定孔道(c孔)中,构建出位点均一、结构明确的催化体系。研究表明,分子级POM团簇在MOF孔道的限域作用下能够保持孤立分散状态,从而避免传统催化体系中常见的活性位点聚集导致的失活问题。同时,MOF的其余大孔道有利于反应物和产物分子的扩散传输。
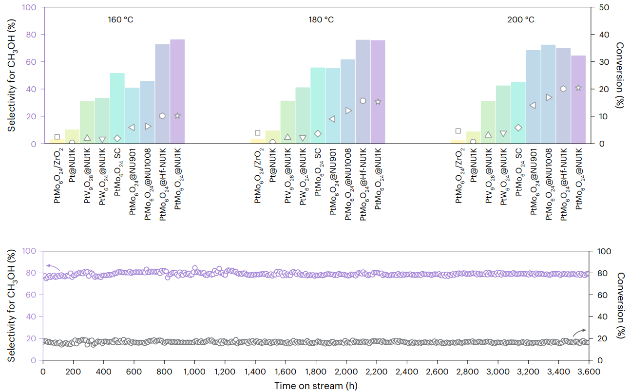
谱学结果表明,经还原处理的限域团簇在室温下便可检测到CO*和CH3O*中间体信号,说明反应在室温即具备反应活性。该催化剂在180°C下连续运行5个月(3600小时)后,其活性与甲醇选择性均未出现明显衰减,平均CO2转化率和甲醇选择性分别维持在16.6%和79.0%,显著降低了潜在应用中的反应启停能耗。

图2:稳定性与转化率
团队结合原位X射线吸收谱学(XAS),高能X射线散射及原子对分布函数(PDF)分析等多种先进表征手段,对催化剂在反应过程中的真实结构进行了系统解析。结果表明,H2活化后,POM团簇仍被稳定限制在c孔内部,未发生明显迁移或聚集;同时,中心Pt位点由初始较高配位环境转变为更开放的低配位结构,为CO2分子的吸附与转化创造了条件。原位光谱与理论计算进一步指出该体系中甲醇生成由逆水煤气变换反应(RWGS)及后续CO加氢路径主导。

图3:结构表征
这项研究的意义不仅在于实现了低温、高效、高稳定性CO2加氢制甲醇,更在于提供了一个能够建立清晰构效关系的模型催化平台。相较于传统结构复杂、难以解析的负载型非均相体系,分子级团簇与MOF的结合为今后面向碳资源转化的高效催化剂设计提供了新的思路,也为发展更加节能、更加可控的CO2加氢过程开辟了新方向。
团队长期深耕POM-MOF体系,近年来围绕POM在MOF中的限域构筑、结构调控与催化应用拓展已取得了多项重要进展。多项相关研究成果已发表于JACS等高影响力期刊,持续推动了POM-MOF体系在精准结构设计与催化功能开发方面的发展,也为此次研究奠定了坚实基础。(来源:科学网)
相关论文信息:https://doi.org/10.1038/s41557-026-02104-x
作者:陈智恒宇等 来源:《自然-化学》

